Determining Filter Cutoff frequency with Residual Analysis for Variable Biomechanics Applications
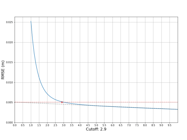
A common problem in biomechanics is determining what cutoff frequency to use for filtering collected positional data. We want to filter out the noise while retaining as much of the signal as possible, including the sharp peaks and valleys where a lot of the interesting information is. Often data is collected in a lab setting…
Side-by-Side Comparison of a Competition Clean for Elite American 105kg Olympic Lifters
Side-by-side comparison of a competition clean for three elite American 105kg Olympic lifters.
Predicting the Performance of MLB Pitchers with Machine Learning
Can we predict the success of a starting pitcher with machine learning using Statcast pitching data?
Could throwing more off-speed pitches reduce the risk of a Tommy John injury?
A pilot analysis from MLB Statcast data
The Mechanical Loading Effect of Squatting With Long and Short Femurs
An interesting side-effect of the tremendous increase in the popularity of Olympic lifting in recent years is that more athletes with non-optimal body types are entering the sport and even competing at a high level. Although many principles of squatting do not change regardless of body type, the individual parameters of athlete warrant consideration. This…
Quantifying “Consistency” in Olympic Weightlifting
“Consistent” technique is generally considered to be a quality of high-level weightlifter. However this is a qualitative term and therefore its difficult to objectively measure or target for improvement. So this brings up the questions: How exactly do we define consistency? And can we quantify it? Before we can quantify “consistency”, we have to define…
Something went wrong. Please refresh the page and/or try again.